What is polarization of light?

Separation of light waves with electric field vector oriented only in a single direction is called polarization of light or this is a process in which light and other radiations are restricted to vibrate in a single direction only and therefore the electric/magnetic field of the wave is unsymmetrical. Circular polarization, linear polarization, and elliptical polarization are three types of polarization.
In 1808 Etienne Louis Malus (1775-1812) accidentally observed the double refraction by a piece of calcite while watching the two images of sunset, one of which was dim and the other was relatively bright. He proposed the word polarization for this property of light, relating the orientation of the preferred direction of the light to the Earth’s poles.
Malus assumed an arbitrary definition based on Newtonian theory to define the plane of polarization of the reflected light as the plane of incidence with no consideration of EM theory. The definition of the plane of polarization used by Malus is orthogonal to the current definition of polarization in terms of the electric field.
In 1817 Young and in 1824 Fresnel construct the theory that presented the concept of polarization that light propagates as a transverse wave. Maxwell’s theory completely defines the polarization properties of light.
In transverse mechanical waves, such as produced in a stretched string, the vibrations of the particles of the medium are perpendicular to the direction of propagation of the waves. The vibration can be oriented along vertical, horizontal, or any other direction.
In each of these cases, the transverse mechanical wave is said to be polarized. The plane of polarization is the plane containing the direction of vibration of the particles of the medium and the direction of propagation of the wave.
A light wave produced by oscillating charge consists of a periodic variation of electric field vector accompanied by the magnetic field vector at the right angle to each other. Ordinary light has components of vibration in all possible planes. Such light is unpolarized. On the other hand, if the vibrations are confined only in one plane, the light is said to be polarized.
What is plane polarization ?
The light emitted by an ordinary incandescent bulb (and also by the sun ) is unpolarized, because its (electrical) vibrations are randomly oriented in space.fig, It is possible to obtain a plane-polarized beam of light from unpolarized light by removing all waves from the beam except those having vibrations along one particular direction. This can be achieved by various processes such as selective absorption, reflected from different surfaces, refraction through crystals, and scattering by small particles.
The selective absorption method is the most common method to obtain plane-polarized light by using certain types of materials called dichroic substances. These materials transmit only those waves, whose vibrations are parallel to a particular direction and will absorb those waves whose vibrations are in other directions. One such commercial polarizing material is a Polaroid.
If unpolarized light is made incident on a sheet of Polaroid, the transmitted light will be plane-polarized. If the second sheet of Polaroids, shown by straight lines drawn on them, are parallel, fig, the light is transmitted through the second polaroid also.
If the second polaroid gets dimmer and dimmer and disappears when the axes become mutually perpendicular. The light reappears on further rotation and becomes brightest when the axes are again parallel to each other. This experiment proves that light waves are transverse waves. If the light waves were longitudinal, they would never disappear even if the two Polaroids were mutually perpendicular.
Reflection of light from water, glass, snow, and rough road surfaces, for larger angles of incidences, produces glare. Since the reflected light is partially polarized, glare can considerably be reduced by using Polaroid sunglasses.
Sunlight also becomes partially polarized because of scattering by air molecules of the earth’s atmosphere. This effect can be observed by looking directly up through a pair of sunglasses made of polarizing glass. At certain orientations of the lenses, less light passes through than at others.
Optical rotation
When plane-polarized light is passed through certain crystals, they rotate the plane of polarization. Quartz and sodium chlorate crystals typical examples, which are termed optically active crystals.
A few millimeter thicknesses of such crystals will rotate the plane of polarization by many degrees. Certain organic substances, such as sugar, and tartaric acid show optical rotation when they are in solution. This property of optical substances can be used to determine their concentration in their solutions.
Polarization can be achieved in five ways i.e by:
- Reflection and Transmission
- Pile of plates
- Dichroism
- Birefringence
- Scattering
Polarization by Reflection
When a light beam of white light is incident at a critical polarizing angle α on a plain polished surface of glass black painted on the opposite side, it is reflected in plane-polarized i.e.all the light after reflection has only one electric field vector vibrating in a single plane only. Generally, we use a vertical and horizontal plane of polarization and will be discussed in the following slides. Polarization by reflection can be observed by the following experiment.
Polarizing angle or Brewster’s angle
David Brewster (1781-1868), the inventor of the Kaleidoscope was the first one who discovered that the reflected light from a plane polished surface becomes plane-polarized if the reflected and refracted rays making an angle of 90° between them or the sum of incident and refracted angle be 90°.
Polarization by Pile of plates
In the previous discussion and derivation, at any angle of incidence part of the light is reflected and the remaining part refracted but at Brewster’s angle electric field vector E parallel to the plane of incidence totally absorbed and refracted, and part of the electric field vector E ⊥ to the plane of incidence refracted and reflected, thus at this angle of incidence energy transferred through E ⊥ absorbed. Hence refracted ray always contains some of both planes of polarization.
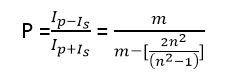
Degree of polarization
Provostaye and Designs found the degree of polarization P of the transmitted rays related to the intensities of the reflected and refracted rays and can be calculated by the following formula with refractive index n of the slabs staked m times.

A tube containing a number of piles of plates oriented at Brewster’s angle is called polariscope used in numerous applications, in this equipment, two such tubes are used and both are identical, one of them is called polarizer, and the other called Analyzer.
One of them can produce plane-polarized light, if the transmitted plane-polarized light from the polarizer passing through the analyzer, the light intensity can be controlled by the orientation of the tubes along the wave traveling direction. The angle of nπ (n=…±3,±2,±1,0) between tubes along the tube axis produces a maximum intensity of polarized light, while the angle of nπ/2 (n=…±3,±2,±1,0) produces zero intensity of the transmitted light.
Watch also video about polarization
Related posts:
Handpicked links
You have perhaps (it is not quite clear) supported a common misconception, or at least failed to correct it. the phase relationship of electric and magnetic components of unpolarized light is not as usually portrayed in textbooks. According to Maxwell’s laws the maximum of the magnetic field coincides with the most rapid change of the electric field, i. e. the minimum. See http://physicsfixes.elementfx.com/index4.html
I liked so much