Gauss’s law and its applications
Gauss’s law states that: “The total electric flux through any closed surface is equal to 1/ε0 times the total charge enclosed by the surface.”Gauss’s law applications are given below.
It is given by Karl Friedrich Gauss, named after him gave a relationship between electric flux through a closed surface and the net charge enclosed by the surface. It is applied to calculate the electric intensity due to different charge configurations.In all such cases, an imaginary closed surface is considered which the electric intensity is to be evaluated. This closed surface is known as the Gaussian surface. Its choice is such that the flux through it can be easily evaluated. It is given by the formula
Φ=q/∈0
Where ∈0 is the relative permittivity of free space vacuum.
Gauss’s law equation derivation

Suppose point charges q1,q2,q3,…….,qn are arbitrarily distributed in an arbitrary shaped closed surface shown in the figure. Using the idea given that the electric flux passing through the closed surface is:

This is the mathematical expression of gauss’s law which can be stated as:”The flux through any closed surface is 1/∈0 times the total charge enclosed in it.”
Where Q =q1+q2+q3+…….+qn,is the total charge enclosed by a closed surface.
integral form of Gauss law
Since the volume charge density is defined as:

Equation (4) is the integral form of gauss’s law.
differential form of Gauss law
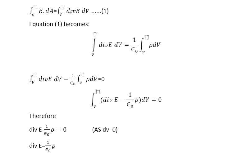
If the charge is distributed into a volume having uniform volume charge density ‘ρ’.then according to the differential form of gauss’s law:

We know by Divergence theorem:

This is the differential form of Gauss’s law.
applications of gauss law in electrostatic
Gauss’s law is applied to calculate the electric intensity due to different charge configurations. In all such cases, an imaginary closed surface is considered which passes through the point at which the electric intensity is to be evaluated. This closed surface is known as the Gaussian surface. Its choice is such that the flux through it can be easily evaluated. Next the charge enclosed by the Gaussian surface is calculated and finally, the electric intensity is computed by applying Gauss law.
field inside a hollow charged spheres

Suppose that a hollow conducting sphere of radius R is given a positive charge +Q. We wish to calculate the field intensity first at a point inside the sphere.
Now imagine a sphere of radius R′ < R to be inscribed within the hollow charged sphere as shown in the above figure. The surface of this sphere is the Gaussian surface. Let Φ be the flux through this closed surface. It can be seen in the figure that the charge enclosed by the Gaussian surface is zero. Applying Gaussian law we have:
![]()
Since Φe=E.A=0
as A≠0
Therefore:
E=0
Thus the interior of a hollow charged metal sphere is a field-free region. As a consequence, any apparatus placed within a metal enclosure “from electric fields.
-
Gauss law due to infinite sheet of charge

Suppose we have a plane sheet of infinite extent on which positive charges are uniformly distributed. The uniform surface charge density is, say,σ. A finite part of this sheet is shown in the above figure. To calculate the electric intensity E at a point P, close to the sheet, imagine a closed Gaussian surface in the form of a cylinder passing through the sheet, whose one flat face contains point P. From symmetry, we can conclude that E points at the right angle to the end face and away from the plane. Since E parallel to the curved surface of the cylinder, so there is no contribution to the flux from the curved wall of the cylinder. While it will be, EA +EA=2 EA, Through the two flat end faces of the closed cylindrical surface, where A is the surface area of the flat faces. As the charge enclosed by the closed surface is σA, therefore, according to Gauss’s law:
Φe =1/∈0 ×charged enclosed by a closed surface
Φe =1/∈0 ×σA
Therefore:
2EA =1/∈0 ×σA
OR
E=σ/2∈0
In vector form:
E=σ/2∈0 rˆ
Where rˆ is a unit vector normal to the sheet directed away from it.
Watch also video.
Visit our page for related topics : Electricity and Magnetism

This is the perffect blog for anybody whoo really wants to understand this topic.
You realize a whole lot its almot hard to argue with you (not that I actually would want to…HaHa).
You certainly put a brand new spin on a topic that’s been discussed for many years.
Great stuff, jyst great!
Which is a excellent tip especially to individuals fresh to the
blogosphere. Short but very accurate information Thanks for sharing this one.
Essential read post!
This article presents clear idea in support of the new people of blogging, that actually how you
can do blogging and site-building.
Stunning story there. What happened after? Thanks!
Great blog you have here but I was wondering if you knew of any message boards that cover
the same topics discussed here? I’d really love to be a
part of community where I can get feed-back from other knowledgeable individuals that share the same interest.
If you have any recommendations, please let me know. Thanks!
It’s truly a great and useful component of info.
I am happy that you simply shared this helpful info with
us. Please keep us up to date such as this. Many thanks for
sharing.
I will immediately clutch your rss feed as I can’t in finding your e-mail subscription link or newsletter service. Do you’ve any? Please permit me know so that I could subscribe. Thanks.
You may have made some great points there. I looked online to acquire more information about the issue and found most people goes along with your thoughts about this page.
Excellent post. I definitely love this site. Keep writing!
Good way of telling, and good piece of writing to take data on the topic of my presentation focus, which i am going to convey in academy.|
pleased to hear about.
Touche. Sound arguments. Keep up the great effort.