Capacitance of a Capacitor

The capacitance of a capacitor is the ability of a capacitor to store an electric charge per unit of voltage across its plates of a capacitor. Capacitance is found by dividing electric charge with voltage by the formula C=Q/V. Its unit is Farad.
Formula
Its formula is given as:
C=Q/V
Where C is capacitance, Q is voltage, and V is voltage. We can also find charge Q and voltage V by rearranging the above formula as:
Q=CV
V=Q/C
Farad is the unit of capacitance. One Farad is the amount of capacitance when one coulomb of charge is stored with one volt across its plates.
Most capacitors that are used in electronics work have capacitance values that are specified in microfarad (µF) and picofarads(pF) . A microfarad is one-millionth of a farad, and a picofarad is one-trillionth of a farad.
What are the factors that effect the capacitance of capacitor?
It depends on the following factors:
Area of plates

Capacitance is directly proportional to the physical size of the plates as determined by the plate area,A. A larger plate area produces a larger capacitance and a smaller capacitance.Fig(a) shows that the plate area of a parallel plate capacitor is the area of one of the plates. If the plates are moved in relation to each other, as shown in fig(b), the overlapping area determines the effective plate area. This variation in the effective plate area is basic for a certain type of variable capacitor.
Plates seperation

`Capacitance is inversely proportional to the distance between the plates. The plate separation is designated d, as shown in fig(a). Greater separation of the plates produces a smaller capacitance, as illustrated in fig(b). As previously discussed, the breakdown voltage is directly proportional to the plate separation. The further the plates are separated, the greater the breakdown voltage.
Dielectric Constant of material
As you know, the insulating material between the plates of a capacitor is called the dielectric. Dielectric materials tend to reduce the voltage between plates for a given charge and thus increase the capacitance. If the voltage is fixed, more charge can be stored due to the presence of a dielectric than can be stored without a dielectric. The measure of a material’s ability to establish an electric field is called dielectric constant or relative permittivity, symbolized by ∈r.
Capacitance is directly proportional to the dielectric constant. The dielectric constant of a vacuum is defined as 1 and that of air is very close to 1. These values are used as a reference, and all other materials have values of ∈r specified with respect to that of a vacuum or air. For example, a material with ∈r=8 can result in a capacitance eight times greater than that of air with all other factors being equal.
The dielectric constant ∈r is dimensionless because it is a relative measure. It is a ratio of the absolute permittivity of a material,∈r, to the absolute permittivity of a vacuum,∈0, as expressed by the following formula:
∈r=∈/∈0
Below given some common dielectric materials and typical dielectric constants for each. Values can vary because they depend on the specific composition of the material.
Material Typical ∈r values
- Air 1.0
- Teflon 2.0
- Paper 2.5
- Oil 4.0
- Mica 5.0
- Glass 7.5
- Ceramic 1200
The dielectric constant ∈r is dimensionless because it is a relative measure. It is a ratio of the absolute permittivity of a material,∈r, to the absolute permittivity of a vacuum,∈0, as expressed by the following formula:
∈r=∈/∈0
The value of ∈0 is 8.85×10-12 F/m.
Formula of capacitance in terms of physical parameters
You have seen how capacitance is directly related to plate area, A, and the dielectric constant,∈r, and inversely related to plate separation, d. An exact formula for calculating the capacitance in terms of these three quantities is:
C=A ∈r∈/d
where ∈= ∈r∈0=∈r(8.85×10-12F/m)
Capacitance of parallel plate capacitor derivation
Consider a parallel plate capacitor. The size of the plate is large and the distance between the plates is very small, so the electric field between the plates is uniform.

The electric field ‘E’ between the parallel plate capacitor is:

Capacitance of cylindrical capacitors physics
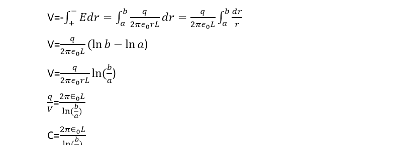
Consider a cylindrical capacitor of length L, formed by two coaxial cylinders of radii ‘a’ and ‘b’.Suppose L >> b, such that there is no fringing field at the ends of cylinders.

Let ‘q’ is the charge in the capacitor and ‘V’ is the potential difference between plates. The inner cylinder is positively charged while the outer cylinder is negatively charged. We want to find out the expression of capacitance for the cylindrical capacitor. For this, we consider a cylindrical Gaussian surface of radius ‘r’ such that a<<b.
If ‘E’ is the electric field intensity on any point of the cylindrical Gaussian surface, then by Gauss’s law:
If ‘V’ is the potential difference between plates, then

This is the relation for the capacitance of a cylindrical capacitor.
Capacitance of a spherical capacitor

Capacitance of an isolated spherical capacitor
External source
https://en.wikipedia.org/wiki/Capacitance

Handpicked links
Hey There. I found your blog the usage of msn. That is a really well written article.
I will be sure to bookmark it and return to
read more of your helpful information. Thanks for the post.
I’ll certainly comeback.
After I originally commented I appear to have clicked the -Notify me when new
comments are added- checkbox and from now on every
time a comment is added I recieve 4 emails with the same comment.
There has to be a means you are able to remove me from that service?
Thank you!
I feel that is certainly amongst the this sort of lot important information for me personally.
And i’m glad studying your article. But would like to remark on few
common things, The website style is ideal, the articles is
actually nice : D. Good process, cheers
Appreciating the commitment you put into your blog and in depth information you offer.
It’s great to come across a blog every once in a while
that isn’t the same old rehashed material. Excellent
read! I’ve bookmarked your site and I’m adding your RSS feeds to
my Google account.
I’ve been exploring for somewhat for almost any top quality articles
or weblog posts within this sort of house . Exploring in Yahoo I eventually stumbled upon this site.
Studying this information So i’m satisfied to exhibit that I’ve an extremely
perfect uncanny feeling I came upon just what I needed.
I this kind of lot definitely can make certain to don?t neglect to remember
this website and gives it a glance regularly.
Wow, this piece of writing is good, my younger ister is analyzing these kinds of things, therefore I am going to let know her.
Hey! This post could not be written any better! Reading this
post reminds me of my previous room mate! He always kept chatting about
this. I will forward this article to him.
Fairly certain he will have a good read. Thank you
for sharing!
I am curious to find out what blog system you happen to be using?
I’m experiencing some small security problems with my latest website and I’d like to
find something more safeguarded. Do you have any solutions?
Really when someone doesn’t know afterward its up to other users that they will assist, so here it takes place.
At this time it seems like Movable Type is the preferred blogging platform
out there right now. (from what I’ve read) Is that what you are using on your blog?
Highly energetic blog, I loved that a lot.
Will there be a part 2?
What a information of un-ambiguity and preserveness of
valuable know-how regarding unpredicted feelings.
whoah this blog is great i really like studying your posts.
Keep up the good work! You know, lots of people are looking
round for this information, you can aid them greatly.
I’m not sure if previous messages were sent from this email or another but disregard previous sent messages sorry for the trouble
Very useful and creative Search Best Institute in this information Thank you.
An intriguing discussion is worth comment. I do believe that you should publish more on this issue, it might not be a taboo subject but generally folks don’t discuss these issues. To the next! All the best!!
excuse me i have a problem in calculating capacitance in a circuit kindly show me in a detailed video